flag Судова влада України

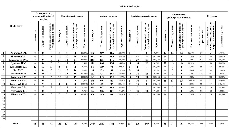
Інформація щодо направлення копій судових рішень до ЄДРСР за квітень 2014 року

22 травня 2014, 17:33