flag Судова влада України

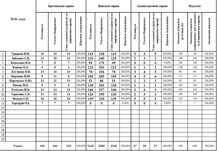
Інформація щодо направлення судових рішень до ЄДРСР у січні-березні 2013 р.